智通财经APP获悉,据港交所12月3日披露,紫光股份有限公司(简称:紫光股份)递表港交所主板,中信建投国际、法国巴黎银行及招银国际为其联席保荐人。

招股书披露,紫光股份(000938.SZ)是一家数字化解决方案提供商,解决方案包括ICT基础设施产品(涵盖计算、存储、联接、安全)以及云服务及系统集成,主要用于人工智能训练及推理以及大数据处理等场景。于往绩记录期间,公司超过90%的收入来自中国内地,而少于10%的收入来自海外。
根据弗若斯特沙利文的资料,按收入计,于2024年,公司为中国数字基础设施市场的第三大供应商,市场份额为8.6%。中国数字基础设施市场是中国数字化解决方案市场的一个细分市场。按收入计,于2024年,公司在中国数字化解决方案市场排名前十。
公司提供的解决方案能够帮助各行各业的客户加速其数字化和智能化转型,核心业务为:
数字化解决方案:设计、开发及供应ICT基础设施产品,包括计算、存储、联接及安全产品,其可作为独立产品提供,也可以作为量身定制的总包解决方案提供以满足客户的特定要求;提供云服务及系统集成服务,作为基础设施产品组合的补充,满足客户的特定需求。
ICT产品分销:除自主研发的产品外,公司还向中国客户分销购自国内外品牌的ICT产品。
截至2025年6月30日,公司的销售及服务遍及全球100多个国家和地区。已在亚洲、欧洲、非洲和拉丁美洲等地区设立了32家海外子公司。公司广泛的销售网络持续扩大,使公司能够为世界各地的客户提供优质产品及服务。
公司通过直销及分销商销售产品及解决方案,以有效满足不同行业客户的需求。于往绩记录期间按业务分部划分的主要销售渠道的收入贡献如下图所示:

公司的客户主要位于中国。公司通过直销的客户群涵盖了广泛的行业领域,包括互联网、通讯、政府、金融、医疗、教育、交通、制造、公用事业、能源及建筑。公司亦利用分销商扩大地理覆盖範围及提高市场渗透率。截至2025年6月30日,公司建立了由超过7,300家分销商组成的庞大分销网络。
财务资料
收入
于2022年度、2023年度、2024年度及2025年截至6月30日止六个月,公司分别录得收益737.52亿元、775.38亿元、790.24亿元及474.25亿元。
利润
于2022年度、2023年度、2024年度及2025年截至6月30日止六个月,公司分别录得年/期内利润分别为37.42亿元、36.85亿元、19.82亿元及12.85亿元。

毛利率
于2022年度、2023年度、2024年度及2025年截至6月30日止六个月,公司毛利率分别为19.8%、18.5%、16%及14.4%。

行业概览
全球及中国数字化解决方案市场概览
数字化解决方案市场是指涵盖了为企业级客户提供数字和AI能力以实现效率提升、创新发展和价值创造的广泛技术、产品、平台和服务的一系列数字化产品和服务。
过往五年全球数字化解决方案市场保持稳定增长,从2020年的1.5万亿美元增长至2024年的2.6万亿美元,2020年至2024年期间年复合增长率为14.1%。随着全球数字化经济的进一步发展,尤其是新兴技术的不断创新与应用下,预计全球数字化解决方案市场规模将在2029年达到4.8万亿美元,2024年到2029年期间年复合增长率达12.7%。

中国数字化解决方案市场保持稳定的增长态势。中国数字化解决方案市场规模从2020年的人民币1.0万亿元增长至2024年的人民币1.9万亿元,年复合增长率达到18.1%。预计到2029年,中国数字化解决方案市场将达人民币4.4万亿元,2024年至2029年期间的年复合增长率将达到18.9%。

全球及中国数字基础设施市场概览
全球数字基础设施市场规模从2020年的2,508亿美元增长至2024年的4,396亿美元,2020年至2024年期间年复合增长率达15.1%。预计到2029年,全球数字基础设施市场规模将达到7,642亿美元,2024年至2029年期间年复合增长率达11.7%。

中国数字基础设施市场规模从2020年的人民币3,397亿元增长至2024年的人民币 6,144亿元,2020年至2024年期间年复合增长率高于全球增速,达16.0%。预计到2029 年,中国数字基础设施市场规模将达到人民币13,863亿元,2024年至2029年期间年复合增长率达17.7%。

计算基础设施市场是数字基础设施市场的细分市场,在中国该市场的企业数量不足百家。受益于人工智能、大模型训练、边缘计算等新兴技术对计算能力的需求不断增加,企业和云服务提供商不断加大在相关领域的投资。
中国计算基础设施市场规模从2020年的人民币1,447亿元增长至2024年的人民币3,858亿元,2020年至2024年期间年复合增长率达27.8%,并预计到2029年达到人民币10,409亿元,2024年至2029年期间年复合增长率为22.0%。

存储基础设施市场是数字基础设施市场的细分市场,在中国该市场的企业数量不足百家。中国存储基础设施市场规模从2020年的人民币339亿元增长至2024年的人民币484亿元,2020年至2024年期间年复合增长率为9.3%。预计到2029年,存储基础设施市场规模将达到人民币659亿元,2024年至2029年期间年复合增长率为6.4%。

网络基础设施市场是数字基础设施市场的细分市场,在中国该市场的企业数量不足百家。随着5G、工业互联网和数据中心互联互通的发展,网络架构升级需求不断增长,增长势头有望逐步回升。
中国网络基础设施市场由2020年的人民币1,393亿元增至2024年的人民币1,516亿元,预计2029年将达到人民币2,412亿元。网络基础设施市场中,主要包括网络交换机、路由器、WLAN等产品。交换机市场从2020年的人民币 315亿元增长至2024年的人民币447亿元,2020年至2024年期间年复合增长率达9.1%,并预计到2029年达到人民币669亿元,2024年至2029年期间年复合增长率为8.4%。

董事会资料
董事会将由九名董事组成,其中包括2名执行董事、3名非执行董事及4名独立非执行董事。董事任期三年,任期届满可连选连任。


股权架构
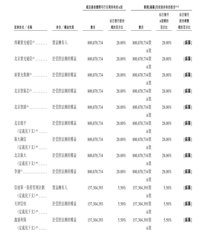
截至2025年11月24日,西藏紫光通信持有公司28.8%的股份,西藏紫光通信为北京紫光通信的全资子公司,而北京紫光通信由北京智广芯透过其全资子公司新紫光集团间接全资拥有。因此,根据证券及期货条例,北京紫光通信、新紫光集团及北京智广芯被视为于西藏紫光通信持有的A股中拥有权益。



中介团队
联席保荐人:中信建投(国际)融资有限公司、法国巴黎证券(亚洲)有限公司、招银国际融资有限公司。
公司法律顾问:有关香港法律及美国法律:年利达律师事务所;有关中国法律:北京市竞天公诚律师事务所;有关国际制裁法律及美国出口管制法律:霍金路伟。
联席保荐人的法律顾问:有关香港法律及美国法律:普衡律师事务所(香港)有限法律责任合伙;有关中国法律:北京市海问律师事务所。
审计师及申报会计师:安永会计师事务所。
行业顾问:弗若斯特沙利文(北京)咨询有限公司上海分公司。
合规顾问:新百利融资有限公司。
>>>查看更多:股市要闻