市场行情
A股收盘:沪指涨1.18%逼近4000点,存储芯片板块集体爆发
1,整体行情:市场全天震荡走强,沪指逼近4000点,继续刷新年内新高,创业板指涨近2%。个股涨多跌少,沪深京三市超3300股飘红,今日成交逾2.35万亿。截止收盘沪指涨1.18%,深成指涨1.51%,创业板指涨1.98%。
2,行业板块:CPO等算力硬件股维持强势,汇绿生态涨停续创新高。下跌方面,风电板块调整,海力风电跌超8%。
3,热门概念:存储芯片板块集体爆发,兆易创新涨停创新高。可控核聚变概念反复活跃,安泰科技等封板。(华尔街见闻)
恒生指数收盘涨1.05%,恒生科技指数涨1.83%
蔚来涨约4%,百度集团涨约6%,万国数据涨约3%,药明康德涨约4%,华虹半导体涨约5%。(华尔街见闻)
行业动态
超88亿!跑了
10月24日(上周五),A股市场呈现普涨格局,主要指数全线飘红,交易活跃度显著提升,两市全天成交近1.99万亿元。股票ETF市场资金流向数据显示,上周五股票ETF资金净流出超88亿元。
上周整周来看,A股主要代表性指数集体收获可观涨幅。其中,上证指数周涨幅达2.88%,创业板周涨幅更是超8%。部分资金选择兑现离场,股票ETF当周“失血”接近180亿元,科创50指数、沪深300指数、创业板指等相关宽基指数ETF成资金净流出主阵营。(中国基金报)
三季报窗口期调研激增121%!公募“掘金”路线图曝光,四大行业最受宠
上市公司三季报进入密集披露期,公募基金快马加鞭抓紧调研。公募排排网数据显示,上周(10月20日—10月26日)共有140家公募机构参与到A股上市公司调研活动中,覆盖20个申万一级行业中的99只个股,合计调研次数高达1188次,环比大增121.64%。
上周公募调研的行业相对比较聚焦,有4个行业被调研不少于100次。其中,医药生物行业居首,被调研197次;机械设备行业同样获得公募机构高度关注,被调研165次;随后是基础化工,合计被调研次数达149次;此外,电力设备行业被调研次数达到143次。(中国证券报·中证金牛座)
外资三季度调仓路径曝光 聚焦高景气与前沿科技赛道
随着上市公司2025年三季报密集披露,市场高度关注的外资机构调仓路线图浮出水面。记者梳理发现,外资在今年第三季度展现出积极进取的姿态,其选股沿着业绩高增长、科技及高端制造、基本面反转三大主线进行布局,在行业板块上集中于半导体、通信、高端制造、新材料等领域,涉及脑机接口、无人驾驶、机器人等热门概念。
数据统计,中材科技、铂科新材、实益达、星网宇达、联芸科技、中策橡胶、新瀚新材、创新医疗、成飞集成、汇金股份、力星股份等在今年第三季度获外资机构大笔买入,部分公司股价已有显著上涨。(中国证券报)
力争超额收益 机构资金多领域精耕细作
在结构化行情充分演绎的三季度,以社保基金、基本养老保险、公募、私募、险资、外资等为代表的机构资金积极掘金牛股机遇,在涨幅显著的电子、通信、医药生物等科技成长板块以及建材、化工、有色等传统顺周期板块均有所斩获。
绩优股的挖掘成为三季度机构资金获取超额收益的重要来源。值得注意的是,机构在积极挖掘景气度向上的细分领域龙头的同时,也对一些短期涨幅过大的个股选择“落袋为安”。无论是顺势加仓还是阶段止盈,都显示出了机构资金的投资精细化操作。(中国证券报)
公募最新策略看好结构性行情 两类权益资产配置价值凸显
近期A股市场在复杂环境中走出分化态势,市场在调整与重构中凸显出内在韧性。近日,公募机构密集发布了最新策略展望,AI科技、顺周期、大盘蓝筹等配置方向成为机构关注的焦点。从资金供需两端看,有机构表示,展望后市,股市的配置吸引力将进一步凸显。银行理财、保险等长期资金将长期向股市迁移。(中国证券报)
债券基金遭遇“冷冬” 主动管理面临更大考验
债券市场持续多年的强势行情于今年放慢脚步,进入宽幅震荡阶段。尤其是三季度以来,市场风险偏好整体提升,在大类资产价值重估的逻辑下,债券资产似乎成了偏弱势的一方。此外,公募费率改革新规的出台,也一定程度上影响了机构资金的参与。在此背景下,主动型债券基金的市场热度显著降温。与之形成对比的是,债券ETF凭借自身优势,成为债市资金新的承接力量。在业内人士看来,这一冷热分化的格局,反映出债券投资生态正发生变化,主动管理面临更大考验,被动配置正加速崛起。(上海证券报)
上亿元!基金密集发红包 多只ETF成“大户”
年末基金分红潮持续升温,债券型与被动指数型产品再度成为主角,多只基金单次分红金额突破亿元。券商中国记者注意到,从结构来看,ETF稳坐“红包大户”之位。今年分红金额居前的基金多集中于ETF,亿元级分红频频出现。多只宽基ETF产品单次分红额超过20亿元,凸显出其规模优势与稳健收益的双重特征。
业内人士分析称,随着ETF产品规模扩大、投资者结构日趋成熟,分红正从阶段性回馈转向长期常态,成为基金吸引力的重要组成部分。(券商中国)
公募FOF三季报陆续披露 指数化配置渐成趋势
公募FOF(基金中的基金)三季报陆续披露,从截至10月25日的最新重仓基金情况来看,FOF的指数化配置趋势越发明显。个别FOF的前十大重仓基金,有9只为ETF。在旺盛的需求下,基金产品也顺势推出多元配置FOF和ETF-FOF等创新品种。指数基金的加入,固然给FOF配置带来更多选择,但也对基金经理的配置能力提出更高要求。(人民财讯)
首批“翻倍基”持仓曝光 普遍重仓AI产业链核心环节
截至目前,年内多只“翻倍基”的最新持仓陆续浮出了水面。今年以来,结构性行情此起彼伏,但科技主线无疑是贯穿其中的最强音。随着人工智能(AI)相关产业链全面爆发,一批提前布局于此的主动权益基金率先突围,成功实现净值翻倍。伴随三季报披露进入高峰期,这些高收益基金的持仓结构也逐渐真相大白——从已披露的情况来看,头部“翻倍基”普遍重仓光通信、PCB、半导体等AI产业链核心环节。(人民财讯)
公募最新调研路径曝光 医药和科技板块备受青睐
尽管近期A股市场出现震荡,但公募基金的调研热情丝毫未减。Wind数据显示,截至10月23日,近一个月来逾160家公募机构合计调研上市公司超2000次。综合来看,医药、电子领域最受公募基金青睐。业内人士认为,随着宏观政策稳步发力、市场流动性保持宽裕,结构性机会仍将贯穿四季度,科技与医药有望成为资金“长短结合”的配置重点。(上海证券报)
公募年内自购权益类基金35亿元
今年以来,公募基金行业明显加大对权益类基金的自购力度,以真金白银看多后市行情。据统计,年内公募自购旗下权益类基金规模已达35亿元,远超去年全年水平。与此同时,多只新发爆款基金也频现基金管理人自购身影。在业内人士看来,基金管理人积极自购既体现对自身投研能力的认可,也可以与投资者利益更好绑定。(上海证券报)
年内“日光基”累计达88只 基金指数化投资趋势再深化
今年公募基金新发市场呈现出一派火热景象,新发基金不仅在数量上保持高位,更引人注目的是,认购天数仅1天的“日光基”频繁出现,成为市场的一大亮点。以基金成立日为统计口径,截至2025年10月25日,有88只基金在发行首日便售罄,反映出资金对公募产品的热烈追捧。
市场分析人士指出,“日光基”频现主要受益于2025年宏观经济企稳向好以及A股市场持续创出新高,投资者风险偏好明显提升。同时,基金公司推出的产品更加精准契合市场需求,如科技创新债ETF、REITs等创新品种,为投资者提供了多元配置工具。数据显示,今年新发基金中,被动指数型产品占比居高,反映了指数化投资趋势的深化。业内预计,未来公募基金新发市场活跃态势有望延续,随着市场持续回暖,“日光基”或将成为常态。(证券时报)
告别明星拥抱系统 公募投研迎“工业化革命”
“为何很少看到明星基金经理了?”——这个问题的答案,正随着公募基金投研体系的深刻变革而逐渐清晰。一场以平台化、系统化和工业化为方向的革命,已从理念构建步入价值验证阶段。尽管转型尚需时间,但其对基金业绩的积极影响已开始显现。
观察近一年、三年及五年的基金业绩榜单,一个趋势愈发清晰:在排名前20%的同类产品中,以往那些熟悉的“明星基金”代码正逐渐淡出视野。过度依赖基金经理个人能力的产品,业绩分化显著;取而代之的是,由平台化、工业化投研体系支撑的产品持续跻身前列,其掌舵人也多为新生代的“陌生面孔”。接受证券时报记者采访的多家基金公司指出,当前基金行业积极推进投研的平台化、一体化和工业化建设,并非简单对标国际做法,而是顺应技术进步与产业发展的必然选择。然而,在这一转型过程中,也面临多重现实挑战,包括信息处理难度大、个体能动性与系统化运作之间的平衡、以及技术与数据层面的瓶颈等,这些都是无法回避的关键问题。(证券时报)
产品线持续丰富QDII基金驶入多元化“新蓝海”
近年来,随着全球资本市场结构的不断演化,以及中国投资者对海外资产配置需求的日益增长,QDII产品的种类日趋丰富。中国证监会网站显示,日前,华夏基金和易方达基金各自申报了一只主投巴西市场的产品,这意味着,我国QDII产品投资范围首次拓展至拉美地区,进一步拓展了跨境投资的广度和深度。业内人士认为,此举不仅为中国投资者打开了配置巴西核心资产的大门,也标志着QDII产品全球资产覆盖能力迈上新台阶。(上海证券报)
头部私募发行热情不减攻守兼备应对“收官之战”
市场震荡并未延缓增量资金的入市步伐。近日,多位私募市场人士对上证报记者透露,10月以来多家知名头部私募仍在进行新产品发行,而且资金更为青睐股票多头策略产品。业内人士表示,伴随着无风险收益率下行,基金业绩震荡提升,增量资金有望持续涌入权益市场,结构性行情或将延续。谈及四季度“收官之战”如何打,多家百亿级私募称将均衡布局,不仅在科技、创新药等领域积极挖掘,还会逐步布局有色、红利等品种。(上海证券报)
近2000只公募基金第三季度合计实现利润1013亿元
随着公募基金三季报的陆续披露,部分产品投资情况逐步揭晓。资讯数据显示,截至10月26日,已有近2000只公募基金披露三季报,第三季度合计实现利润达1013亿元。从利润靠前产品的重仓情况来看,科技创新资产仍是配置主力。
多只公募基金在三季报中表示,当前中国宏观经济持续向好,且政策持续加码科技创新领域,如人工智能、半导体和数字经济等产业政策陆续落地,直接推升相关产业链景气度,后续仍会延续硬科技领域的投资,注重产业趋势和公司基本面研究。(证券日报)
三季报
傅鹏博、谢治宇、赵诣等知名基金经理调仓动向曝光 下一个“风口”在哪里?
随着A股上市公司三季报、主动权益基金三季报密集披露,多位知名基金经理的调仓动向浮出水面。例如,三季度,傅鹏博管理的睿远成长价值、谢治宇管理的兴全合润均加仓了PCB龙头东山精密;而莫海波管理的万家臻选减仓光模块,加仓了机器人产业链;郑巍山管理的银河创新成长新进重仓了晶圆制造龙头华虹公司、翱捷科技-U等个股。泉果基金赵诣、平安基金周思聪则分别加仓了港股科技和港股医药。
值得一提的是,一些重仓AI算力板块的主动权益基金,三季度的收益颇丰,也吸引了大量净申购资金。因此,有基金经理提示投资者,当前应理性对待赛道型基金产品。(21世纪经济报道)
科技“猎手”冯明远最新调仓:多只重仓股被明显减仓 重点加仓这两只个股
10月27日,信达澳亚基金冯明远管理的4只公募基金披露三季度报告。从重仓股变化来看,基金经理此前重仓的品种没有发生较大改变,但在持仓数量上变化较明显,普遍较今年二季度末有所减持。
其中,华虹公司、兆易创新、思特威-W等在三季度被环比减持明显,有的基金持仓数量较此前下降50%以上。歌尔股份、恒玄科技则获得加仓,部分基金新进重仓晶晨股份、炬芯科技。基金经理在季报中指出,基金持仓以电子、新能源、通信、汽车零部件、机械行业为主;AI、机器人等新技术的发展将积极拉动相关产业的发展,有利于基金为投资者创造价值。(每日经济新闻)
永赢基金高楠公募管理规模突破500亿元
10月27日,永赢基金知名基金经理高楠旗下的公募产品披露了2025年三季报。Wind数据显示,截至三季度末,高楠管理的公募产品规模突破500亿元,达到517.14亿元。其中,二级债基永赢稳健增强三季度规模由75.28亿元大幅增至348.59亿元,偏股混合型基金永赢睿信的管理规模也由50.16亿元增至144.17亿元。
以永赢睿信三季度为例,该基金A份额三季度收益率超40%,新增超36亿份净申购。三季度,该基金增持了中际旭创、康方生物、紫金矿业、泡泡玛特、匠心家居、中孚实业,同时新买入工业富联、华锡有色、百济神州(港股),减持了新易盛、百济神州(A股)。Wind数据显示,截至10月24日,中际旭创、工业富联下半年以来股价涨幅都在220%以上,新易盛涨幅也在190%以上。(中国证券报·中证金牛座)

产品动态
本周25只公募新基发行,延续近期降温态势
据公募排排网数据显示,按认购起始日统计,本周(2025年10月27日-11月2日)全市场共计发行公募产品25只,环比降幅16.67%,延续近期回落态势。
排排网财富公募产品经理朱润康表示,公募产品发行近期降温主要有两方面原因:一方面,投资者对当前市场存在一定的恐高心理,担忧盈利持续性,因此在认购新基金时表现较为谨慎;另一方面,公募机构在发行策略上也趋于稳健,考虑到后续市场仍面临较大不确定性,对新基金的发行也更为审慎。朱润康还表示,随着公募产品发行数量有所减少,但由于投资者对公募产品的整体需求依然较大,从而带动了新基募集效率的大幅提升。(新华财经)

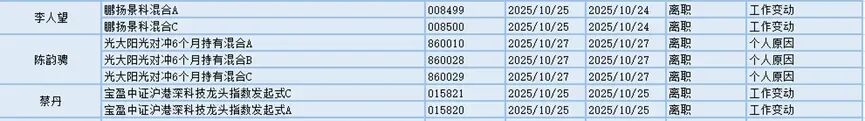
人事变动
40位基金经理发生任职变动
今天(10.27)有45只基金产品发布基金经理离职公告,从变动原因上来看,有7位基金经理是由于工作变动而从管理的19只基金产品中离职。有3位基金经理是由于个人原因而从管理的24只基金产品中离职,有1位基金经理是由于产品到期而从管理的2只基金产品中离职。(金融界)





>>>查看更多:股市要闻