前言
现阶段无论是服务器电源、通信电源,还是面向下一代数据中心的800VDC体系,电源系统都在向更高开关频率、更小体积、更低损耗与更严苛安规/可靠性标准演进。在这一背景下,e-mode GaN器件从消费级应用逐步开始加速走向服务器电源市场。
与传统硅MOS相比,GaN在开关损耗、反向恢复与高频能力上的优势,使其天然适合在服务器与通信电源中应用,其高频特性有助于降低磁性元件的体积,进而带来功率密度提升。另外在实际应用中,e-mode GaN以常关断的器件特性,更贴近电源行业长期形成的驱动与保护逻辑,更易于相关行业工程师设计高效率、高可靠以及可规模量产的目标电源产品。
也正因如此,越来越多e-mode GaN企业逐步补齐数据中心对氮化镓器件应用的核心诉求。下文我们将为您梳理这些当下e-mode GaN企业,介绍旗下产品链路布局。
D-mode GaN企业

GaNFET.com对各大e-mode氮化镓企业进行系统梳理,可见数十家知名高压氮化镓厂商赫然在列。
文中案例不分先后,按品牌首字母顺序排列。
企业类型

在本次统计样本中共有26家企业,其中Fabless企业11家、IDM企业11家;从占比来看,Fabless与IDM模式各占50%。

在当下氮化镓企业在业务模式上非常多元,设计驱动的Fabless模式和制造一体化IDM模式两种路线都同样重要,没有出现被哪一种模式彻底主导的情况。
国家分布

通过统计可见,氮化镓企业分布高度集中在中国,中国以12家、占比54.55%明显领先;美国5家(22.73%)位居第二;日本、德国、荷兰、瑞士、英国各1家(各4.55%)。

高压氮化镓行业整体呈现出中国主导、欧美日等国分散布局的格局,说明当前氮化镓产业的企业数量重心已明显向中国集中。
城市分布

从城市分布来看,氮化镓企业主要集中在长三角与珠三角核心城市:杭州、苏州各3家(各13.64%)并列第一;其余城市均为1家。

高压氮化镓行业整体呈现出向产业密集地区集聚的特征,体现出产业对产业链配套、资本与人才密集区的高度依赖。
Allpower铨力微

通过本次统计可见,铨力微的e-mode GaN主要覆盖650V/700V/900V三个耐压档位,导通电阻大致分布在35mΩ到600mΩ,并配套多种封装以适配不同功率密度与制造需求。在封装层面可见,DFN5×6、DFN8×8侧重紧凑布局与低寄生参数,适合高频高功率密度设计;TO-252、SOT-223更偏向通用性;而TOLL/TOLT则提供更低导阻和更强的电流与散热承载能力,面向更高功率、更高电流的电路应用。

AOS万国

从器件分布来看,万国的e-mode GaN主要提供三类封装,分别为:DFN5×6、DFN8×8与TOLL。其中DFN5×6聚焦700V平台,导阻覆盖140/190/240mΩ;DFN8×8同时覆盖650V与700V,导阻分别提供70/80mΩ以及140/190/240mΩ;TOLL则面向更高功率与更强散热需求,提供650V35mΩ与70mΩ两档低导阻选择,利于降低导通损耗并提升连续功率输出能力。

CGD

本次统计的CGD系列产品该系列统一为650V耐压,覆盖从低导阻到中高导阻的多档位选择,面向离线AC-DC、PFC/LLC、快充适配器以及高频开关电源等典型场景,而在其他规格层面,导阻范围从25mΩ~240mΩ,封装方面提供DFN5×6、DFN8×8以及更大尺寸的BHDFN10×10三条路线,可见CGD在散热性能、布局空间与系统集成度之间的差异化布局。

CorEnergy能华

本次统计的数据中,三款650V耐压器件均面向市电输入AC-DC场景应用,从参数与封装组合看,能华提供160mΩ与300mΩ两档导阻,其中160mΩ器件同时给出DFN8×8与DFN5×6两种封装版本,而300mΩ器件则至提供DFN5×6封装。

DX氮矽

从本次统计数据来看,氮矽器件e-mode GaN以700V为主、少量650V器件,既满足市电输入应用的耐压裕量,也通过不同导阻档位与多封装路线,满足多种需求。从规格分布看,氮矽e-mode GaN导阻跨度大,覆盖从30mΩ~400mΩ;封装层面则既有DFN5×6、DFN8×8用于紧凑型化设计的封装,也提供TO252、TO220F、TOLL等更利于散热与装配的形态,便于各类电源平台的快速落地选型。

Fantastichip梵塔

在本次统计中,梵塔这款e-mode增强型氮化镓功率器件核心特征是半桥氮化镓。器件定位在650V应用,通过将半桥功率级以单器件形态呈现,直接面向高频、高功率密度电源对“更短回路、更少器件、更高一致性”的需求,适合用于PFC、LLC、以及各类紧凑型AC-DC方案的功率开关应用。

GaNPower量芯微

量芯微的e-mode增强型氮化镓耐压提供900V~1200V等级,面向工业以及数据中心等需要更高母线电压、与更大功率的场景。从参数看,900V平台提供120mΩ/170mΩ两档导阻,统一为DFN8×8;而1200V平台则把导阻进一步做到65mΩ/70mΩ,同时覆盖DFN8×8与TO263两种封装。

Infineon英飞凌

英飞凌在e-mode氮化镓领域的器件产品同时覆盖600V/650V/700V,既面向主流市电离线AC-DC也兼顾更高浪涌裕量或不同拓扑的需求;从导阻维度看,范围从25mΩ延伸至500mΩ,能对应不同设计取向。具体到产品形态,英飞凌的e-mode提供DFN8×8、ThinPAK5×6/8×8、QFN小型化封装以及TOLT/TOLL、DSO、DPAK更侧重散热与大电流应用场景的封装。此外,还有部分产品覆盖半桥氮化镓的集成形态,支撑从快充适配器到高功率服务器/工业电源等多种类产品落地。

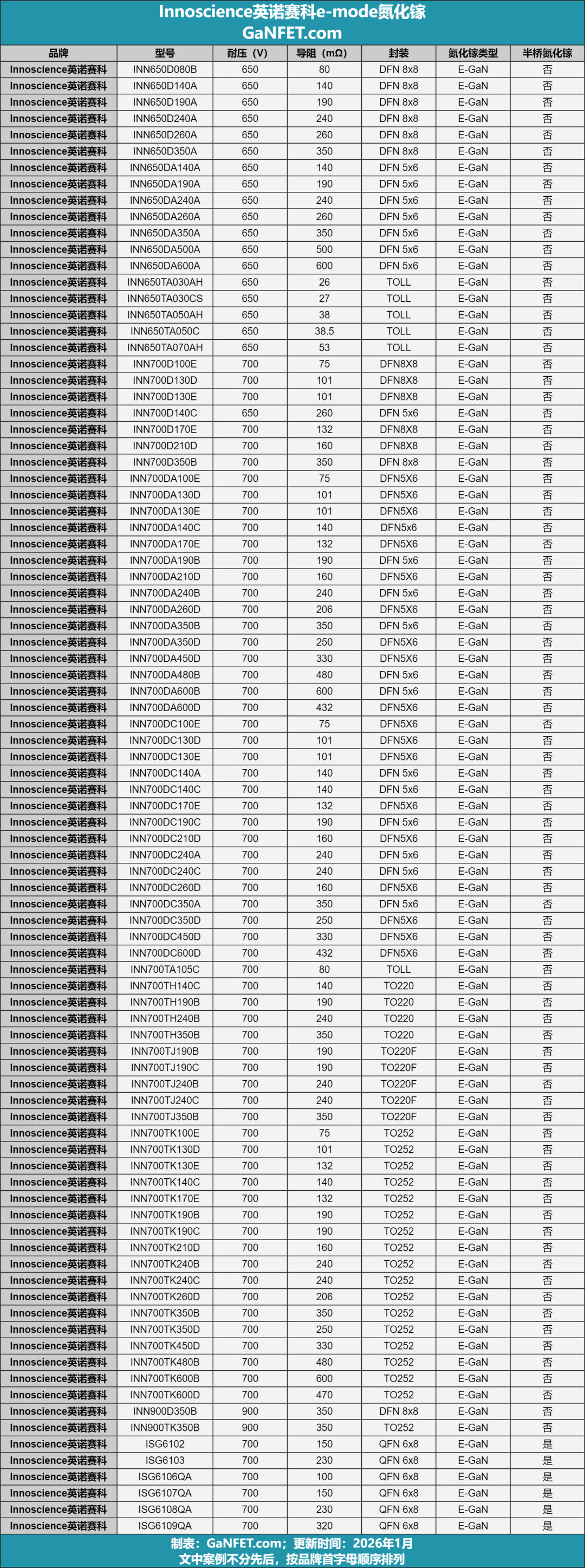
Innoscience英诺赛科

英诺赛科的e-mode氮化镓耐压以650V/700V为主,并延伸到900V,导阻覆盖26~600mΩ,满足从主流市电AC-DC到更高母线需求的应用。从规格与形态看,英诺赛科既有DFN8×8/DFN5×6的器件,也有TO220/TO220F/TO252等封装,以匹配更大功率与更广泛的工程落地需求。此外,在本次统计中还有900V耐压器件,以补齐工业/服务器电源领域高耐压母线应用。

JOULWATT杰华特

JOULWATT杰华特在e-mode增强型氮化镓(E-GaN)方向的一款代表性功率器件,整体特性突出“650V离线平台+半桥集成+小型封装”。从选型维度看,它面向市电输入的AC-DC方案,强调用更高集成度的器件形态来降低功率级实现门槛:把半桥做进同一封装,有利于缩短关键回路、降低寄生参数,并提升系统一致性与高频工作下的可控性。
具体到型号JW1568K,其规格为650V耐压、220mΩ导阻,采用QFN6×8封装,并明确标注为半桥氮化镓:是。这一组合更偏向中等功率段与高功率密度设计:QFN6×8有利于紧凑布局与低电感互连,适合快充适配器、PFC/LLC等高频拓扑;而220mΩ的导阻定位则在效率、成本与体积之间做平衡,强调“集成度带来的系统级收益”——用更少器件、更简化的驱动与布局,换取更高的工程落地效率与稳定性。

Navitas纳微

纳微的e-mode氮化镓功率器件覆盖650V/700V应用,整体导阻跨度从18mΩ~450mΩ,从封装与形态看,纳微一方面大量采用QFN/PQFN5×6、6×8、8×8等小型封装,另一方面也提供DPAK-4L、TOLL/TOLT等便于散热设计的封装,覆盖更高输出功率与更严苛热设计需求。此外,还有部分器件为半桥氮化镓设计,满足紧凑型设计需求。

Nexperia安世

安世的e-mode氮化镓在耐压上覆盖650V与700V,导阻从80mΩ延伸至350mΩ,既能满足高效率、小体积的快充/适配器与高频AC-DC设计,也给到更偏成本与系统折中的中高导阻选项。从封装看,650V器件主要提供DFN8×8与DFN5×6;700V平台则引入DPAK封装,更贴合功率提升与散热需求,同时也保留了DFN5×6封装,为工程师提供了丰富的可选性。

PI帕沃英蒂格盛

PI在本次统计中收录IMX2353F这款1700V耐压、520mΩ导阻,采用InSOP-T28G封装的氮化镓器件,该器件可在200~1000V直流场景下运行,适配800VDC平台应用。

PRIMECHIP元芯

元芯e-mode增强型氮化镓产品以700V耐压为主,其均为半桥氮化镓产品,三款产品在统一QFN6×8封装下提供400mΩ、300mΩ、200mΩ导阻,低导阻版本更偏向更高输出与更低导通损耗,高导阻版本则在成本、热设计与效率之间做平衡;半桥形态进一步缩短关键回路、降低寄生与EMI风险,提升高频电源方案的效率效率并满足量产一致性。

Prisemi芯导

芯导的e-mode氮化镓产品覆盖650V与700V耐压,面向市电输入AC-DC的适配器、PFC/LLC等高频高功率密度应用,从参数与封装策略看,三款器件统一采用DFN8×8封装,导阻覆盖110~160mΩ,让工程师在效率、耐压裕量与系统成本之间更容易做快速权衡。

ROHM罗姆

ROHM罗姆的e-mode增强型氮化镓(E-GaN)功率器件,产品特性突出“650V主流离线平台+低导阻取向+面向功率密度的封装组合”。从耐压维度看,四款器件均锁定650V,覆盖市电输入AC-DC的主战场;从损耗维度看,导阻档位集中在50/70/130mΩ,整体偏向中低导阻,体现罗姆在高效率、低导通损耗应用上的取向,适合快充适配器、PFC/LLC等高频高功率密度电源设计。
具体到封装与型号,ROHM采用两条典型路线:一类是DFN8080CK(对应50mΩ、70mΩ、130mΩ),更强调紧凑布局、低寄生与高频开关性能;另一类是TOLL-8N(70mΩ),更偏向更强散热能力与更高连续功率输出需求。总体来看,这组E-GaN器件以650V平台为基座,通过“DFN高密度+TOLL强散热”的封装组合覆盖不同功率段,并用低导阻档位强化效率优势,便于在体积、热管理与系统效率之间做更精细的工程权衡。

SSDI

本次收录的SSDISGR15E90M,其规格为900V耐压、160mΩ导阻,采用TO254封装,适合工业电源、新能源汽车、服务器电源等需要更高电压母线的应用。

ST意法

本次收录的意法半导体的e-mode增强型氮化镓器件在产品特性非常明确,其全部聚焦650V耐压,且清一色为半桥氮化镓器件,面向AC-DC的高频高功率密度应用。从规格分档看,MasterGaN系列以统一的QFN9×9封装承载不同导阻档位,形成清晰的功率段覆盖MasterGaN1/1L/2偏向中等功率与效率平衡,MasterGaN3/4/4L面向更宽的成本与热设计需求,MasterGaN5则更适合功率更小或更强调集成与简化设计的场景,覆盖不同功率等级,便于高频电源的集成化与快速落地。

Tagore泰高技术

本次统计收录的泰高技术的具体型号TTHB100NM,其规格为650V耐压、100mΩ导阻,采用QFN8×10封装,且为半桥氮化镓设计,适合在快充适配器、PFC/LLC等高频功率级中应用,配合集成半桥的形态进一步强化器件高频开关优势。

TI德州仪器

德州仪器的e-mode增强型氮化镓耐压维度覆盖600V/650V为主,并延伸到700V;导阻从25mΩ~270mΩ,能同时覆盖消费级快充、适配器到工业/通信电源、服务器电源等多种电源场景应用。从形态与封装看,德州仪器一方面是650V半桥GaN;另一方面是覆盖面更广的分立器件系列,封装从QFN32、VQFN一路到TOLL与QFM,既满足紧凑高频布局,也兼顾更强散热与更高功率输出需求。

充电头网总结
通过本次统计数据可见,当下e-mode GaN正在从消费级快充的成熟应用,逐步走向服务器电源与通信电源的主功率舞台。本文梳理的24家e-mode GaN企业可以看到,器件耐压以650V/700V为主,900V、1200V乃至更高电压扩展;导阻覆盖从低导阻到中高导阻的多档位;封装路线既有DFN/QFN等小型化形态,也有TOLL/TOLT/TO系列等更强调散热与装配的封装。此外,随着近期800VDC等新架构对效率、功率密度与可靠性的要求进一步增加,e-mode GaN的优势将持续扩大。
本文内容基于互联网公开信息进行整理,如有疏漏,敬请谅解!
大会预告
世界氮化镓大会由GaNFET.com网站举办,将于7月31日(周五)在深圳市南山区科苑路15号科兴科学园B栋4单元会议中心举办。氮化镓技术的未来图谱正在此绘就。这里,全球产业的决策者与创新者同频共振,以前沿洞察驱动技术跃迁,共同校准下一代增长的频率。
世界氮化镓大会由GaNFET.com网站举办,每年固定于世界氮化镓日(7月31日)在粤港澳大湾区的核心创新引擎深圳市举行。大会专注氮化镓半导体前沿技术,致力于打造推动技术突破与产业合作的核心平台。凭借其对氮化镓技术趋势的精准把握和全产业链的深度整合,已成为全球第三代半导体领域最具前瞻性的行业盛会之一。大会汇聚了全球产业链的决策者与创新力量,更定义了氮化镓技术的未来议程,是洞察趋势、建立合作、抢占技术制高点的必然选择。
>>>查看更多:股市要闻